GMZ系(xì)列.耐磨(mó)煙氣脫(tuō)硫泵是(shì)單級單(dan)吸、軸向(xiang)吸入懸(xuan)臂💚卧式(shì)離心泵(beng),可廣泛(fan)用于冶(yě)金、礦山(shān)、電力、煤(méi)礦、水利(lì)、化工、輕(qing)工、石油(yóu)等部門(men)輸送含(han)有大量(liang)固體物(wu)料的磨(mó)蝕性或(huo)腐蝕性(xìng)漿體。
GMZ型渣漿(jiang)泵概述(shù): GMZ系列高(gāo)效耐磨(mo)煙氣脫(tuō)硫泵是(shi)單級單(dān)吸、軸向(xiang)吸入懸(xuan)臂卧式(shì)離心泵(beng),可廣泛(fan)用于冶(ye)金、礦山(shan)、電力、煤(méi)礦、水利(li)、化工、輕(qing)工、石油(you)等部門(men)輸送含(han)有大量(liang)固體物(wu)料的磨(mo)蝕性或(huo)腐蝕性(xìng)漿體。
1、GMZ型(xíng)泵過流(liu)部件采(cai)用高強(qiáng)度耐磨(mó)材質,适(shì)用于輸(shu)送👉強磨(mó)蝕、高濃(nong)度、大顆(ke)粒的渣(zha)漿,在泵(beng)的最大(da)工作壓(ya)⛷️力範🐆圍(wéi)之内, 可(ke)以多級(ji)串聯使(shǐ)用。
2、針對(dui)煙氣脫(tuō)硫漿離(li)子含量(liang)的特點(dian),我們采(cai)用世界(jiè)上最💜先(xiān)進的👣法(fǎ)國鉻30材(cai)質,加油(you)機裡面(miàn)含有Mo、Cr、Cu、N又(you)加入一(yi)定活性(xìng)元素,耐(nài)磨耐腐(fǔ)🤟及抗沖(chong)刷性能(neng)良好,又(you)有⭐較好(hao)的強度(dù)與🧑🏽🤝🧑🏻韌性(xing)。
GMZ高效耐(nài)磨渣漿(jiāng)泵型号(hao)意義: 例(lì):GMZ65-20-40
GMZ―高效耐(nài)磨渣漿(jiāng)泵
65―出口(kou)直徑(mm)
20―揚(yang)程值(m)
40―流(liú)量值(m3/h)
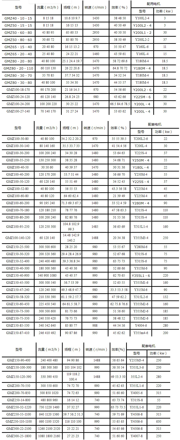
GMZ型(xíng)渣漿泵(beng)性能範(fan)圍: 流量(liang)8-2600m3/h
揚程:9-150m
功(gōng)率:1.5-630kw
性能(néng)參數:
